Meniu

Caută pe PresaSM

0

Nu e glumă! Deși a câștigat, Florisal a contestat licitația pentru salubrizare!

Nu doar cei de la AVE Bihor au contestat licitația pentru salubrizarea municipiului Satu Mare după ce au pierdut, ci a urmat aceeași cale de atac chiar și câștigătorul: Florisal. Ambele societăți au f...

Nu e glumă! Deși a câștigat, Florisal a contestat licitația pentru salubrizare!

Nu doar cei de la AVE Bihor au contestat licitația pentru salubrizarea municipiului Satu Mare după ce au pierdut, ci a urmat aceeași cale de atac chiar și câștigătorul: Florisal.

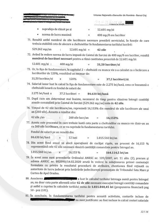
Ambele societăți au făcut plângeri către Consiliul Național pentru soluționarea Contestațiilor (CNSC). Dacă AVE Bihor a contestat faptul că oferta Florisal ar avea prețuri scăzute artificial, cei de la Florisal sunt supărați pe cei din comisia de licitație fiindcă nu au exclus AVE Bihor din start. Motivul: oferta neconformă.

Reporterii PresaSM au luat legătură cu proprietarul Florisal, Vasile Pușcaș, care a precizat că are ”o sută de motive ca să conteste AVE Bihor”. Vasile Pușcaș susține că oferta firmei din Bihor nu putea fi admisă la licitație fiindcă nu a fost conformă cu cerințele caietului de sarcini.

”Oferta AVE Bihor nu era admisibilă, fiindcă nu a respectat caietul de sarcini. Aș avea o sută de motive să vă prezint, dar am să punctez câteva doar. Cei de la AVE Bihor au spus - în oferta lor - că vor goli coșurile de gunoi doar de cinci ori pe săptămână. Noi golim și în prezent de șapte ori, în fiecare zi a săptămânii. La acțiunea de măturat, la fel. AVE Bihor a spus că va mătura de cinci ori, nu de șapte ori cât este în caietul de sarcini. Apoi, spre exemplu, la curățarea rigolelor, cei de la AVE Bihor au venit cu o ofertă de preț de 359 de lei pentru o sută de metri pătrați. Este un nou record în Europa, niciunde nu am auzit să fie astfel de prețuri. Iar mai apoi, considerăm că este inadmisibil ca tocmai comisia de licitație să le ceară celor de la AVE Bihor să își regleze calculele din ofertă, ca să fie conforme cu caietul de sarcini. Toate argumentele noastre, cu toată documentația aferentă, am depus-o la CNSC”, a declarat Vasile Pușcaș la solicitarea PresaSM.

PresaSM vă prezintă mai jos contestația celor de la Florisal:

Citește și

Scandal violent într-un bar din Carei: un individ a înjunghiat un bărbat în plină zi
Actualitate

Scandal violent într-un bar din Carei: un individ a înjunghiat un bărbat în plină zi

acum 1 oră
FOTO. Pieton în stare gravă, lovit de un BMW pe ”zebră”. Mașina s-a oprit după 54 de metri
Actualitate

FOTO. Pieton în stare gravă, lovit de un BMW pe ”zebră”. Mașina s-a oprit după 54 de metri

acum 13 ore
LISTĂ. Prețurile carburanților continuă să scadă în Satu Mare. Motorina scade sub 9 lei, benzina scade spre 8 lei
Actualitate

LISTĂ. Prețurile carburanților continuă să scadă în Satu Mare. Motorina scade sub 9 lei, benzina scade spre 8 lei

acum 18 ore
FOTOGALERIE. Invazie de persoane fără adăpost pe malul Someșului, în zona de picnic din Satu Mare!
Actualitate

FOTOGALERIE. Invazie de persoane fără adăpost pe malul Someșului, în zona de picnic din Satu Mare!

acum 18 ore
Mii de hectare, în special livezi, afectate de îngheț la Satu Mare. Se vor face verificări în teren
Actualitate

Mii de hectare, în special livezi, afectate de îngheț la Satu Mare. Se vor face verificări în teren

acum 20 ore
Fugar din Satu Mare, identificat în Belgia! Adus ASTĂZI sub escortă în arestul IPJ Satu Mare 
Actualitate

Fugar din Satu Mare, identificat în Belgia! Adus ASTĂZI sub escortă în arestul IPJ Satu Mare 

acum 21 ore
SATU MARE. Fără permis, a intrat cu ATV-ul într-o mașină. Două victime și o gafă făcută de mulți sătmăreni
Actualitate

SATU MARE. Fără permis, a intrat cu ATV-ul într-o mașină. Două victime și o gafă făcută de mulți sătmăreni

acum 22 ore
Amenzi de mii de lei pentru crescătorii din animale dintr-o localitatea sătmăreană. DSVSA a fost în control
Actualitate

Amenzi de mii de lei pentru crescătorii din animale dintr-o localitatea sătmăreană. DSVSA a fost în control

acum 23 ore
Controalele înainte de Paște la Satu Mare s-au lăsat cu amenzi consistente. Ce nereguli au găsit cei de la DSVSA
Actualitate

Controalele înainte de Paște la Satu Mare s-au lăsat cu amenzi consistente. Ce nereguli au găsit cei de la DSVSA

acum 23 ore
FOTO. Accident pe DN19, Satu Mare - Baia Mare. Impact între un autoturism și un microbuz școlar
Actualitate

FOTO. Accident pe DN19, Satu Mare - Baia Mare. Impact între un autoturism și un microbuz școlar

17 aprilie 2026
Incident grav la un mare spital din țară. Un bărbat a furat o țeavă şi un robinet și a lăsat pacienții de la ATI fără oxigen
Actualitate

Incident grav la un mare spital din țară. Un bărbat a furat o țeavă şi un robinet și a lăsat pacienții de la ATI fără oxigen

17 aprilie 2026
Cum va fi vremea în weekend la Satu Mare. Când scad, din nou, temperaturile
Actualitate

Cum va fi vremea în weekend la Satu Mare. Când scad, din nou, temperaturile

17 aprilie 2026

Dezvoltat cu de Ottoweb

Alte știri pentru tine

Altă știre 0/0
Comentarii Anchete Politică Necitite