Meniu

Caută pe PresaSM

0

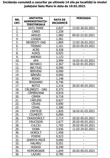
LISTĂ. Șapte localități sătmărene în scenariul roșu. Care este incidența la nivelul localităților din județ

Astăzi, 19 februarie 2021, fost actualizată lista localităților din județul Satu Mare în care se impun limitări în domeniile HoReCa, cultural și de divertisment, pentru a preveni răspândirea virusului...

LISTĂ. Șapte localități sătmărene în scenariul roșu. Care este incidența la nivelul localităților din județ

Astăzi, 19 februarie 2021, fost actualizată lista localităților din județul Satu Mare în care se impun limitări în domeniile HoReCa, cultural și de divertisment, pentru a preveni răspândirea virusului SARS-CoV-2.

Conform anexei actualizate la Hotărârea CJSU nr. 3 din 15 ianuarie 2021, numărul localităților unde incidența depășește 1,5 cazuri/1000 locuitori este de 20 localități.

Numărul localităților cu incidența peste 3 cazuri/1000 locuitori este de 7 localități.

În funcție de rata de incidență, se impun măsuri specifice pentru limitarea răspândirii noului coronavirus


Citește și

Dezvoltat cu de Ottoweb

Alte știri pentru tine

Altă știre 0/0
Comentarii Anchete Politică Necitite